Hostgroups-Host-Templates

Description

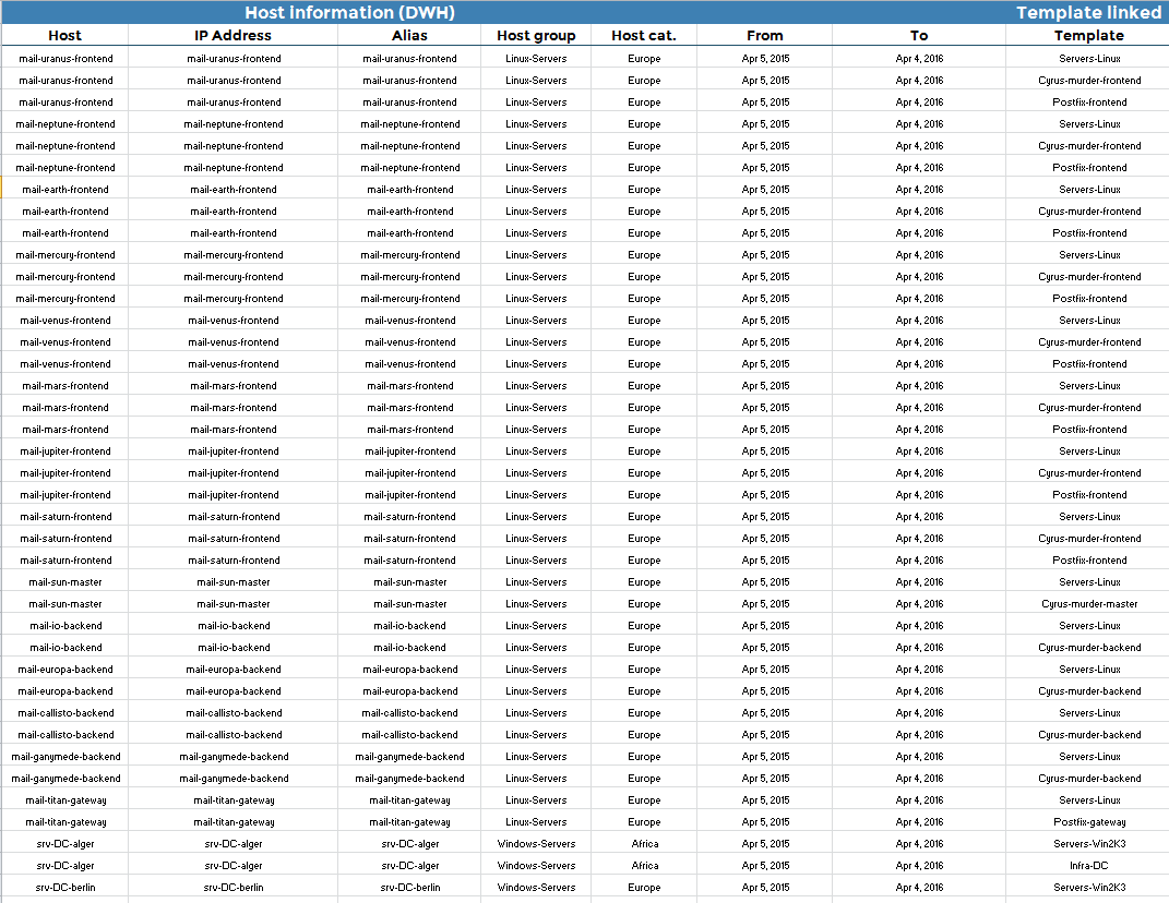
This report displays information on the hosts in the reporting datawarehouse, their parent template, relation to groups and categories and creation date. You can filter on host groups and categories.

../_images/host_information.png

The table below shows the links between host templates:

../_images/link_between_host_templates.png

The following table shows the link between service and host templates:

../_images/relation_between_service_and_host_templates.png

The following table presents an overview of the host templates and their check and notification properties:

../_images/host_templates_info.png

Parameters

Parameters required for the report:

  • The reporting period

  • The following Centreon objects:

Parameter

Parameter type

Description

Hostgroups

Multi select

Select host groups.

Host Categories

Multi select

Select host categories.